El Dr. Herrera Castro es Ingeniero Químico por el Instituto Tecnológico de Tepic y Doctor en Ciencias Químicas por el Centro de Investigación y de Estudios Avanzados del IPN. Actualmente es investigador Posdoctoral en el Instituto de Energías Renovables (IER) de la UNAM. Es miembro del SNII y sus líneas de investigación son la termodinámica fuera de equilibrio y los fenómenos de transporte.
El Dr. del Río Portilla es físico y doctor en ciencias por la Facultad de Ciencias de la UNAM. Distinguido con el Premio Weizmann por su tesis doctoral, Premio Efraín Hernández Xolocotzi por la Universidad de Chapingo, Medalla de Honor en Ciencia y Tecnología otorgada por el Congreso del Estado de Morelos, Medalla VASE, Reconocimiento al Mérito Estatal en Investigación REMEI 2021 por las contribuciones a la Divulgación y Vinculación y Premio Universidad Nacional 2023 en el área de Innovación tecnológica y diseño industrial. Director fundador el Centro Morelense de Innovación y Transferencia Tecnológica (2007-2008), primer director del IER de la UNAM (2013-2021) y actual director del Centro de Estudios Mexicanos Reino Unido de la UNAM. Es miembro de las academias Mexicana de Ciencias, de Ingeniería de México y de Ciencias de Morelos.
Esta publicación fue revisada por el comité editorial de la Academia de Ciencias de Morelos.
En un día tranquilo en la universidad, nos encontramos en un pasillo de la facultad. Nos saludamos y empezamos a charlar alegremente sobre política, deportes, los quehaceres de las casas. Sin darnos cuenta y dado que teníamos una hora libre se nos antojó ir a la cafetería y continuar platicando. Así fue como empezamos a hablar sobre el cambio climático y el uso de las energías renovables.
- ¿No sientes que, en los últimos años, parece que los veranos son más calurosos? ¿Y que la temperatura no baja como antes en invierno?
- Sí, sí lo he notado. Todo se siente más caluroso que en nuestra época infantil. Inclusive nuestros padres y parientes lo comentan.
- Mucho tiene que ver el cambio climático. La temperatura de la Tierra parece que se eleva poco a poco cada año y no se vislumbra que se detenga.
- ¿Has pensado alguna vez si el cambio climático puede pararse o inclusive revertirse? Le pregunté.
- Pensaría que sí es posible - me respondió-, solamente dejamos de producir gases de efecto invernadero y listo. Debemos promover el uso de las fuentes renovables de energía. ¿No es así?
- Pues así parecería; pero no es tan sencillo. Fíjate, tal parece que todo el sistema económico está orientado a producir más, lo que tiene consecuencias e incrementa el consumo actual de energía y en general de los recursos naturales.
- Ahora que lo mencionas - me dijo-, hace unos días me dio curiosidad y revisé los datos de consumo de energía en el mundo. Al parecer, el consumo energético mundial se encuentra en un máximo histórico. Mira esta gráfica (figura 1). El consumo de energía que proviene principalmente de combustibles fósiles supera por mucho a las fuentes renovables, se encuentra en un máximo histórico y la tendencia es de aumentar.

Figura 1. Consumo energético global de energía primaria por fuente de energía. Datos de Our World in Data https://ourworldindata.org/energy-production-consumption (18-febrero-2026).
- Más aún -continué- en el año 2024, el consumo energético de combustibles fósiles fue de 142,420 terawatt hora (Figura 3).

Figura 2. Consumo mundial de combustibles fósiles en función del tiempo. Datos de Our World in Data https://ourworldindata.org/fossil-fuels (18-febrero-2026).
- ¿Y ese número qué significa?
- Esto equivale a 42 mil toneladas de gases de efecto invernadero que se generaron y van directo a afectar la composición de la atmósfera.
- Es terrible... - le dije-. Tal parece que, como sociedad, vivimos en un sistema económico tan complejo que, aunque nos ha dado muchas comodidades, a la vez necesita muchísima energía para funcionar. Además, con este afán consumista, el sistema económico siempre busca producir cada vez más para que la gente consuma más.
- Exactamente -me dijo-. El actual sistema económico propone que el flujo del dinero no pare y con ello el uso de energía y materiales también aumenta.
- Esta inquietante necesidad de incrementar los consumos parece enfermiza.
- Por eso, pienso que la idea de disminuir las emisiones de gases de efecto invernadero en estas condiciones, derivado del consumo energético, es poco viable. Al contrario de lo que necesitamos, nuestros sistemas de producción, para mantenerse, necesitan cada vez de un mayor aporte de energía. Difícilmente puedes cubrir todas las necesidades de consumo, indispensables o no, disminuyendo las demandas energéticas.
- Pero, mira- le dije-. Eso del incremento de los flujos lo planteó Adrian Bejan, con el enunciado de la Ley Constructal hace más de 30 años.
- ¿En serio? ¿De qué trata este enunciado?
- Esta ley se refiere a que la estructura bien diseñada de un sistema donde hay transporte de algo, como fluidos o energía o dinero, es tal que maximiza los flujos. Fue propuesta por Adrian Bejan, un ingeniero mecánico en 1997 [1, 2].
- Espera tantito… ¿Cómo es que la estructura maximiza los flujos?
- Adrian Bejan y sus diferentes equipos encontraron que las estructuras o diseños de sistemas donde se transportaba algo correspondían a maximizar los flujos. Por ejemplo, la forma del sistema circulatorio humano maximiza el flujo sanguíneo, o el sistema de arroyos, riachuelos y ríos maximiza el flujo de agua de las montañas a los lagos u océanos.
- ¡Ah! - exclamé. Entonces, esta ley tiene implicaciones en la descripción de sistemas en la naturaleza.
- Así es - me reafirmó. Bejan propone que los sistemas naturales y también los creados por la humanidad, trabajan en un estado de flujo máximo.
- A ver ¿cómo los sistemas construidos por la humanidad? ¿Dame un ejemplo?
- Veamos el caso del transporte y entrega de productos de las grandes compañías como Amazon o Mercado Libre. Lo que desean es repartir los productos lo más rápido posible y entregarlos en el menor tiempo posible. Es decir, maximizan el flujo de productos. Otro ejemplo es el suministro de energía eléctrica. Hoy las grandes centrales eléctricas requieren de un sistema de transmisión y distribución que permita que la energía se transmita rápidamente a cualquier lugar.
- Ya veo - me dijo. El ancho de las calles en los vecindarios es pequeño, pero conforme viajamos a otras zonas de las ciudades o entre ciudades, los anchos de las autopistas aumentan y también las velocidades a las que circulan los vehículos.
Me quedé pensando sobre la ley constructal. Dado que los flujos tienden a ser máximos las cosas se transportan lo más rápido posible sin importar los costos. Este hecho, implica un mayor derroche y entonces no es eficiente ni sustentable. En términos de energía, el derroche conduce a un consumo aún mayor de combustibles. Por ejemplo, el comercio en línea utiliza cientos de personas moviéndose en las ciudades e incrementando el uso de energía, solo por la necesidad creada de entrega rápida. En cambio, ir a la tienda de la esquina caminando, donde algún mayorista entregó cientos de productos parece ser menos demandante de la energía en comparación con el auto de la entrega rápida. Si aunado a esto consideramos que la mayoría de los combustibles son derivados del petróleo, las consecuencias de no actuar de manera responsable son terribles desde todo punto de vista. El medio ambiente sufriría aún más de lo que estamos viendo en estos momentos, y las consecuencias para la vida serían terribles de continuar con este paso. Aquí la pregunta es ¿Son eficientes estas estructuras que maximizan los flujos?
- Pero… ¿Esto parece no ser eficiente? - Me interrumpió.
Parecería que pensábamos en cosas similares y continué:
- Así es. Mira… Creo que tengo una posible respuesta a esta pregunta. ¿Recuerdas la clase de termodinámica? Cuando hablábamos de eficiencia, entropía y la dirección natural de los procesos.
- Sí -me dijo-, recuerdo acerca de esa propiedad llamada entropía, la cual es una medida de la eficiencia con la que usamos la energía. Un sistema es más eficiente en el uso de la energía cuando genera menos entropía.
- Precisamente, un proceso con una mayor eficiencia produce o genera menos entropía que uno que no es eficiente.
- Y eso ¿cómo lo medimos o lo sabemos? - le interrumpí.
- La termodinámica de procesos reales, llamada termodinámica fuera de equilibrio plantea que la "producción de entropía" se puede calcular mediante el producto de las diferencias que producen los flujos, los llamados gradientes en el sistema, por el flujo que se produce [3].
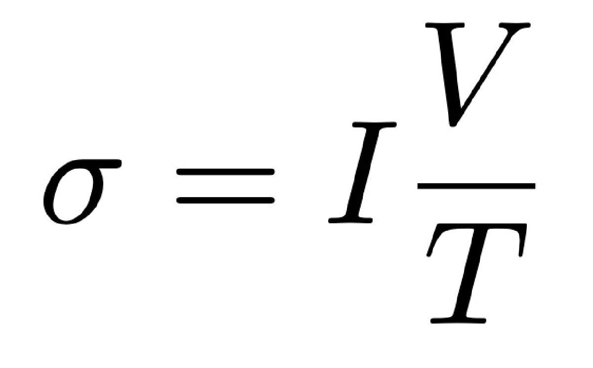
Tomó una servilleta y sacó su lapicero para escribir (ecuación 1):

y continuó hablando:
- Consideremos a sigma (s) como la producción de entropía, entonces la podemos calcular con el producto de la corriente eléctrica por la diferencia de voltaje. En este caso uso la corriente eléctrica I, la diferencia de potencial o voltaje es V y T la temperatura
- ¿De qué sistema hablas? -le interrumpí.
- Consideremos que tenemos un alambre de metal y le aplicamos una diferencia de potencial; digamos lo conectamos a una batería en sus extremos, lo que produce una corriente eléctrica.
- Si ya lo veo, pero y ¿cómo sabemos cuánto se produce de entropía?
- Recuerda la Ley de Ohm - me dijo y escribió (ecuación 2):

- En la Ley de Ohm, la corriente eléctrica es proporcional a la diferencia de potencial V e inversamente proporcional a la resistencia eléctrica R. Entonces la producción de entropía queda de la siguiente manera (ecuación 3):

Continuó hablando
- Lo ves ahora, la producción de entropía aumenta cuando la corriente aumenta. Recuerda que la corriente eléctrica se define como el flujo de electrones en un alambre [4].
- ¡Ah! ya veo - me quedé mirando la ecuación. Si un sistema sigue la ley constructal, la producción de entropía entonces crece también, ya que el producto del flujo por sí mismo es una cantidad positiva y si el flujo es máximo entonces la producción de entropía es máxima comparada con cualquier otro flujo. Así podemos decir que el sistema no es eficiente.
- Efectivamente - afirmó. Debido a las irreversibilidades, el sistema no es eficiente.
- ¿A qué te refieres con irreversibilidades? - le pregunté
- Irreversibilidad es una situación que los sistemas reales presentan una vez que se desencadena un proceso, no pueden regresar a su estado inicial a menos que se les proporcione más energía de la que usaron en el proceso. Al aumentar la entropía en un proceso, menor es su eficiencia energética, es decir, menos energía se transforma en lo que llamamos trabajo útil y hay más desperdicios.
Me quedé pensando en esta última frase y le pregunté:
- ¿La entropía está ligada entonces con la eficiencia de los procesos energéticos?
- Así es - me confirmó.
- Pensé que la entropía sólo era una medida del desorden de los sistemas. Esto que me estás presentando vuelve su estudio más interesante y primordial.
Me emocioné y pensé que podríamos empezar a trabajar en colaboración en algo interesante, así que le dije:
- …un momento. Si estudiamos entonces la termodinámica de procesos irreversibles, entenderíamos cómo funciona la producción de entropía y aprenderíamos a no aumentarla tanto, ¿podríamos mejorar la eficiencia de los procesos?
- Efectivamente -me dijo. Es por eso que, como humanidad, debemos mirar hacia aumentar la eficiencia y no la potencia de los sistemas.
- A ver espera - le interrumpí, cómo que la potencia, es la primera vez que la mencionas.
- Sí mira, la energía disipada crece con la rapidez con la que se mueven las cosas, la energía disipada por unidad de tiempo es la potencia disipada. De hecho, la potencia es proporcional al cuadrado de la corriente eléctrica, y se llama calor de Joule, que puede calcularse como la resistencia del sistema por la corriente al cuadrado que circula por él.
- ¡Ah ya veo! - le dije, si la potencia es el cuadrado de los flujos, entonces podemos decir que los sistemas naturales y los creados por la humanidad trabajan a máxima potencia porque maximizan los flujos.
- Al estudiar la irreversibilidad de la transformación de la energía o en general de los sistemas donde se transporta algo podríamos optimizarlos, buscando que la producción de entropía no aumente tanto y eso traería un mejor uso de la energía.
Concluí que trabajar a máxima potencia no es lo más eficiente, por eso en las mismas clases de termodinámica se enfatizaba que hay dos maneras de trabajar un motor: a máxima potencia y en la forma eficiente. En la primera, el motor duraba menos y en la segunda, aumentaba su vida útil. Continué con la conversación diciéndole:
- En consecuencia, migraríamos a tener procesos de transformación que nos acercarán a la sustentabilidad.
- Creo que esa es la gran responsabilidad de la humanidad en estos tiempos, continuó diciéndome. Debemos pensar en cómo cambiar nuestro uso energético hacia mejorar su eficiencia, en comunión con el medio ambiente, en vez de trabajar a máxima potencia. Esto me recuerda a las implicaciones tecnológicas que tuvo la termodinámica en el siglo XIX, las cuales moldearon los procesos de la revolución industrial y nos condujeron a tener la civilización que tenemos en estos tiempos donde lo importante es lo rápido que suceden las cosas.
- La termodinámica ayudó a llegar hasta aquí; sin embargo, necesitamos una nueva forma de optimizar los procesos. Esto requiere un cambio de paradigma, orientado en el estudio y disminución de las irreversibilidades en lugar de minimizar los tiempos. Cambiar a un modelo eficiente nos conviene; pero me preocupa el tiempo que se tomaría lograrlo. Estamos acostumbrados a pedir resultados inmediatos.
- Claro que tomaría tiempo - me dijo-, pero sería una decisión con conciencia ambiental y más humana, con un mejor futuro de lo que se vislumbra en estos momentos. Son cambios de mentalidad, política pública, científicos y tecnológicos. Poco a poco podríamos lograrlo.
- Por eso - le dije a manera de conclusión, en el camino a un futuro más sustentable, más vale paso que dure a trote que canse, ¿no es así?
- Así es. Imagina esto: Una civilización donde los procesos con los que satisface sus necesidades sean eficientes gracias a que se busque la eficiencia utilizando la termodinámica fuera de equilibrio podría conseguir que la tecnología que se construya sea amigable con el entorno y en particular con la humanidad. Una civilización donde la contaminación ambiental o los desechos sean mínimos y los recursos se utilicen con conciencia.
- Entonces, podemos revisar los trabajos que optimizan los procesos buscando minimizar los tiempos y reformularlos buscando formas eficientes. Esto es un trabajo arduo en muy diversas áreas de las ingenierías, física, química, sociología, entre otras disciplinas.
- Me parece que tenemos una diversidad de tópicos para hacer las tesis.
La conversación terminó ahí, dejando una sensación de preocupación por el presente, pero de optimismo al saber que hay alternativas al camino que la humanidad lleva en estos momentos. Tenemos herramientas para buscar un uso de la energía eficiente y que la forma de transportar o transformar los recursos se apegue al concepto de sustentabilidad. Además, quedamos de acuerdo en que el estudio de la termodinámica fuera de equilibrio juega un papel fundamental en la parte técnica. Aunque no me quedó claro cómo incorporar la parte social. Quizá sea tema de otra plática.
Nos despedimos y cada uno partió para su clase, con el convencimiento que más vale paso que dure que trote que canse.
Referencias
- Bejan, A. Zane, P. Design in Nature. How the Constructal Law governs evolution in biology, physics, technology and social organization. Doubleday, Random House Inc. New York (2012).
- del Río Portilla, J. A. Harvesting Solar Energy. en Light Beyond 2015. Editado por Ana María Cetto, María Teresa Josefina Pérez de Celis Herrero. Universidad Nacional Autónoma de México, México (2017)
- de Groot, S. R., Mazur, P. Non-equilibrium Thermodynamics. Dover, London (1984).
- Prigogine, I., Kondepudi, D. Modern thermodynamics. From Heat Engines to Dissipative Structures. John Wiley and Sons, England (1998).
Esta columna se prepara y edita semana con semana, en conjunto con investigadores morelenses convencidos del valor del conocimiento científico para el desarrollo social y económico de Morelos.

